Análisis y cuantificación del grado de desvulcanización en elastómeros
La desvulcanización es un proceso clave en la economía circular de los materiales elastoméricos, ya que permite recuperar caucho vulcanizado y reincorporarlo en nuevas aplicaciones, reduciendo residuos y la dependencia de materias primas vírgenes. Sin embargo, desvulcanizar caucho plantea grandes retos debido a la complejidad de romper los entrecruzamientos químicos entre las cadenas poliméricas del caucho sin dañar su estructura básica, permitiendo recuperar propiedades como la elasticidad y facilitar su reutilización, promoviendo la sostenibilidad. Además, las formulaciones de caucho normalmente incorporan varios ingredientes además de la matriz principal, como cargas reforzantes, plastificantes, antioxidantes, etc. Todo ello hace complejo que el proceso sea sencillo y, por tanto, muchas aproximaciones se realizan para evaluar las mejores soluciones.
Actualmente, se están utilizando y desarrollando diversas técnicas para abordar este desafío, como procesos químicos (empleando agentes desulfurantes), mecánicos (por cizallamiento y calor), térmicos (pirólisis controlada) y biológicos (mediante enzimas o microorganismos). Cada método tiene ventajas y limitaciones, siendo clave en su desarrollo la posibilidad de caracterizar con precisión el grado de desvulcanización logrado para asegurar la calidad del material reciclado y su utilidad en aplicaciones futuras. Este artículo se centra en los métodos disponibles para analizar dicha desvulcanización y su correlación con las propiedades del caucho reciclado.

Figura 1. Esquema de la estructura de red en un proceso de vulcanización y desvulcanización.
Método Básico de Evaluación: Contenido de Gel
El contenido de gel mide la fracción insoluble de un caucho entrecruzado tras la extracción en un solvente adecuado. Este método evalúa indirectamente la cantidad de entrecruzamientos presentes en el material mediante la distinción entre elementos solubles y no solubles, siendo esta fracción la fracción de estructura de red de caucho vulcanizado remanente. De forma ideal, si durante el proceso se eliminasen todos los entrecruzamientos, obtendríamos un polímero totalmente soluble en el disolvente adecuado (no habría contenido en gel), Sin embargo, un proceso muy agresivo podría no atacar únicamente a los enlaces de entrecruzamiento sino también a la propia cadena de polímero, limitando sus propiedades futuras.
Normas Aplicables:
- ISO 10147 y/o ASTM D2765: Utilizadas para determinar el contenido de gel en polímeros entrecruzados. Estas normas son específicas para polietileno reticulado (PE-X), pero su método y resultados pueden hacerse aplicables a otros cauchos con modificaciones (elección adecuada del disolvente). En ese caso, podría emplearse para determinar el grado de desvulcanización si se conoce la fracción inicial de gel antes del proceso de desvulcanización.
Procedimiento
- El material se somete a un proceso de extracción con un solvente como xileno a una temperatura controlada.
- Se mide la cantidad de material insoluble (gel) que permanece tras la extracción.
- Se compara con el contenido de gel inicial para determinar el grado de desvulcanización.
| Ventajas | Limitaciones |
|
|
Hinchamiento en Disolvente: Una Evaluación Más Precisa
Este método se basa en la capacidad del material para hincharse en un solvente, una propiedad que depende directamente de la densidad de entrecruzamiento. Por ello, es ampliamente utilizado en la industria del caucho para correlacionar grado de hinchamiento con densidad de entrecruzamientos.

Figura 2. Esquema de la estructura de red en un caucho en estado sólido y de la red tras hinchamiento en disolvente.
Antes del ensayo, se suele realizar un tratamiento previo con acetona para eliminar extractables como plastificantes o caucho no entrecruzado que ya está presente en el material original.
Normas Aplicables
No existe una norma específica universal para el hinchamiento en caucho, pero se emplean procedimientos derivados de estudios como la teoría de Flory-Rehner.
La norma ASTM D6814 proporciona una guía para evaluar el grado de desvulcanización en triturados de cauchos vulcanizados a través de la medición de la densidad de entrecruzamiento a través del hinchamiento en solventes.
Procedimiento básico
- Se seca la muestra para obtener su masa inicial.
- Se somete a un tratamiento de extracción (acetona) para eliminar materiales no entrecruzados (caucho sin vulcanizar, azufre libre, plastificantes, ayudantes de procesado, aceites naturales o ceras, ácidos grasos o antioxidantes).
- La muestra se expone a un solvente adecuado (por ejemplo, tolueno) y se mide la masa hinchada.
- Se deja evaporar el solvente hasta obtener la masa seca final del material.
- Se calcula el grado de hinchamiento y se correlaciona con la densidad de entrecruzamiento usando ecuaciones teóricas.
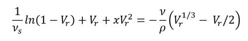
La ecuación de Flory-Rehner es fundamental para describir el hinchamiento de polímeros entrecruzados en presencia de un solvente, y se utiliza para calcular la densidad de entrecruzamientos (ν). La ecuación básica es:

Donde:
- νs: volumen molar del solvente (cm³/mol).
- Vs: fracción volumétrica del polímero hinchado en el equilibrio
- χ: parámetro de interacción polímero-solvente (adimensional).
- ν: densidad de entrecruzamiento (mol/cm³).
- ρ: densidad del polímero (g/cm³).
Pasos principales en el cálculo:
- Determinar experimentalmente a partir del volumen del polímero antes y después del hinchamiento.
- Estimar el parámetro de interacción χ mediante tablas o ecuaciones específicas para el sistema polímero-solvente.
- Resolver la ecuación para obtener ν, que representa la densidad de entrecruzamiento.
| Ventajas | Limitaciones |
|
|
Por último, existen, a nivel experimental, otras aproximaciones para tratar de analizar la desvulcanización de una red de caucho. Por ejemplo, la densidad de entrecruzamientos puede calcularse indirectamente a partir de las propiedades elásticas de un caucho vulcanizado. Según la teoría de redes elásticas, la densidad de entrecruzamientos (𝜈) está relacionada con el módulo elástico (𝐺). Además, algunos investigadores utilizan métodos como la Resonancia Magnética Nuclear de bajo campo para obtener una información cuantitativa de la densidad de entrecruzamiento promedio, así como de una homogeneidad o heterogeneidad de la red, lo que permite obtener una mayor información de dicha red. La RMN de bajo campo es una técnica avanzada que puede analizar la movilidad de las cadenas poliméricas y, con ello, inferir la densidad de entrecruzamientos a través de los tiempos de relajación.
¿Qué método elegir?
Pese a no existir un método universal, existen varias aproximaciones para tratar de caracterizar el grado de desvulcanización del caucho tras los tratamientos. La elección del método dependerá del nivel de detalle requerido y del material a evaluar. A nivel industrial, el contenido de gel es ideal para análisis rápidos y estándares, mientras que el hinchamiento en solvente, combinado con la teoría de Flory-Rehner, es preferible para una caracterización más profunda. En un entorno industrial, utilizar ambos métodos puede ofrecer una visión completa del estado del material y su capacidad de reciclado y reentrada como materia prima.
Si tienes dudas en cuál es la mejor solución, desde el Laboratorio de Caracterización de AIMPLAS podemos asesorarte y realizar una propuesta adecuada a tus necesidades. Contacta con nosotros.